近日,香港六合彩特码资料“煤基应用催化”创新团队在工程技术一区Top期刊Fuel Processing Technology发表了题为“Promotion effects of FeCu co-doping on Co3O4-based catalysts for linear α-olefins to alcohols”的研究论文。
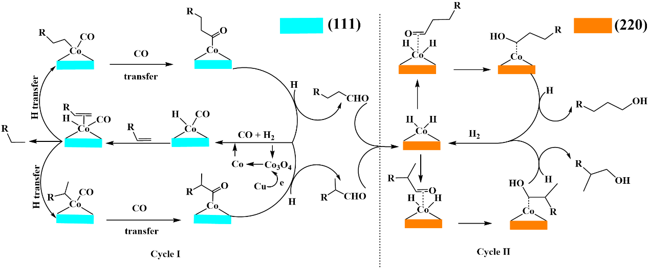
工业高碳醇制备主要采用分立的氢甲酰化和加氢两步反应将原料α-烯烃转化为高碳醇。该研究采用Fe-Cu共同修饰的Co3O4基催化剂可一步将C6~C12α-烯烃转化为C7~C13醇,如1-辛烯转化率为99%,1-壬醇选择性67.87%,1-壬醛选择性18.35%。研究发现,Cu修饰可通过促进反应条件下Co3O4原位还原及acyl-Co(CO)x-1中间体的形成提高反应活性,而Fe-Cu共修饰可调控醇产物选择性。催化剂前体的主暴露Co3O4(111)和(220)晶面分别关联氢甲酰化和加氢连续反应步骤(图1)。这一结果为煤制油α-烯烃初级产物下游加工高效催化剂开发提供了新线索。

图1 Fe-Cu共修饰Co3O4基催化剂上α-烯烃连续氢甲酰化和加氢转化
论文第一作者为2022届硕士研究生邓雪平,通讯作者为赵天生教授。研究工作得到了宁夏重点研发计划东西部合作项目(2017BY063)、化工一流学科专项资金和宁夏自然科学基金(2022AAC02014)支持。相关链接://doi.org/10.1016/j.fuproc.2023.107721